• Предмет: Физика
  • Автор: danilova30092004
  • Вопрос задан 7 лет назад

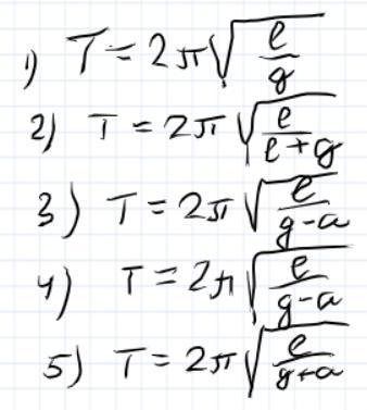
За якою формулою слід обчислювати період коливань математичного
маятника, підвішеного до стелі ліфта: під час рівномірного руху; під час
рівноприскореного піднімання; під час рівносповільненого піднімання; під час
рівноприскореного опускання; під час рівносповільненого опускання ліфта?

Ответы

Ответ дал: zybkov1950
1

Ответ: Див. додаток

Объяснение:

Приложения:

danilova30092004: Дякую
Вас заинтересует