• Предмет: Математика
  • Автор: dudchenkoanna37
  • Вопрос задан 7 лет назад

СРОЧНО!!!! 100 балов!!!!

Приложения:

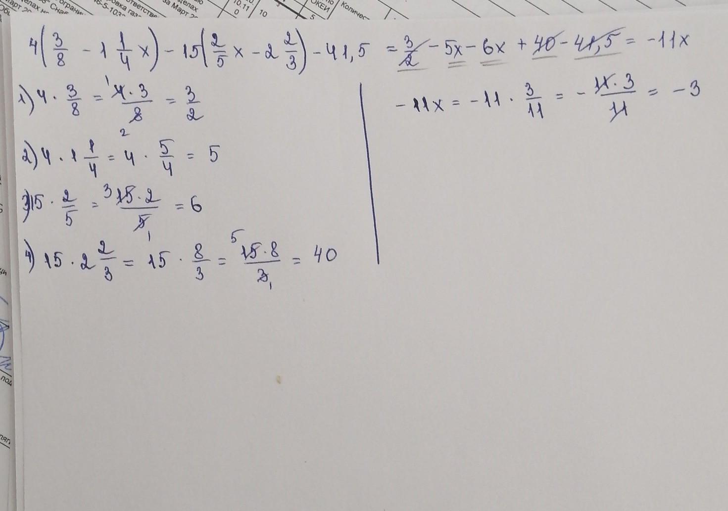
miki68: =1,5-5х-6х+40-41,5=-11х , -11*3/11=-3

Ответы

Ответ дал: noNConneccted
1

Ответ:

первое фото решение 2 фото ответ

Приложения:
Ответ дал: vikasuhareva2001
1

Ответ:

Решение на фото)...........

Приложения:
Вас заинтересует