• Предмет: Алгебра
  • Автор: dimahumuric
  • Вопрос задан 7 лет назад

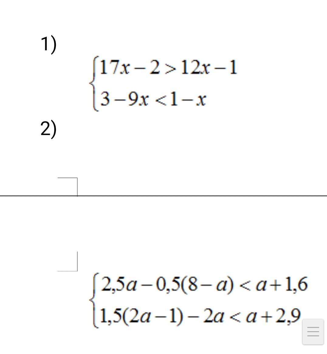
Помогите плиз решить!!!!!!!!!

Приложения:

Ответы

Ответ дал: vikasuhareva2001
1

Ответ:

Решение на фото)....…...

Приложения:

dimahumuric: Спасибо тебе огромное, я выложил новое задание по алгебре, может ты мне и с ним сможешь помочь? Очень нужно
vikasuhareva2001: блин, сейчас не могу, решу только после 13 00.(у меня 12 22)
dimahumuric: Хорошо, как тебе удобно!)
dimahumuric: Ждууу.
dimahumuric: Ну что там?
dimahumuric: Ты не забыла про меня? Очень нужна твоя помощь
Вас заинтересует