• Предмет: Математика
  • Автор: rumy15
  • Вопрос задан 7 лет назад

очень срочно, пожалуйста

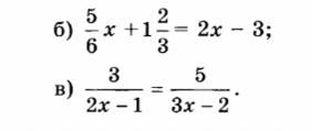
5/6 x + 1 2/3 = 2x - 3
3/2x - 1 = 6/3x - 2

Приложения:

Ответы

Ответ дал: iramazurk
0

Ответ:

Пошаговое объяснение:

б)

5/6х + 1. 2/3 = 2х - 3

5/6х - 2х = -3 - 1. 2/3

5/6х - 1. 6/6х = -4. 2/3

-1. 1/6х = -4. 2/3

-7/6х = -14/3

х = -14/3 : (-7/6)

х = -14/3 * (-6/7)

х = -2/1 * (-2/1)

х = 4/1

х = 4

в)

3/(2х - 1) = 5/(3х - 2)

3 * (3х - 2) = 5 * (2х - 1)

9х - 6 = 10х - 5

9х - 10х = -5 + 6

-х = 1

х = -1


vhlcocoicc: можешь мне помочь пж?у меня в профиле последний вопрос
Вас заинтересует