• Предмет: Математика
  • Автор: kiraluniova
  • Вопрос задан 7 лет назад

допоможіть будь ласка 6 клас 5 та 6 завдання буду вдячна<3​

Приложения:

Ответы

Ответ дал: natalyvd
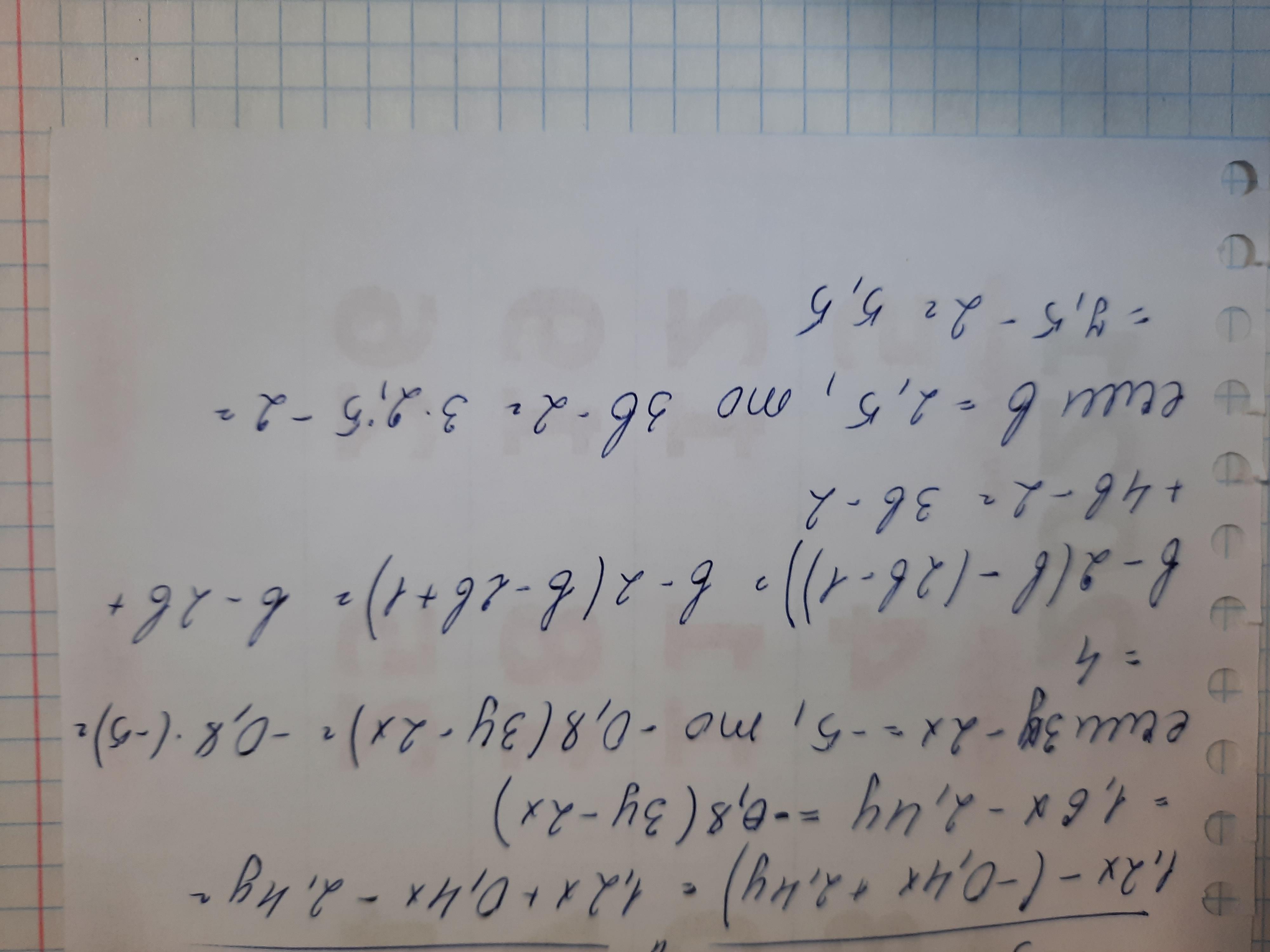
1

Ответ:

на фото

Пошаговое объяснение:

Приложения:

kiraluniova: ДЯКУЮ ВЕЛИКЕ!
Вас заинтересует