• Предмет: Алгебра
  • Автор: alina13a2007
  • Вопрос задан 7 лет назад

Розв’язати повне квадратне рівняння:
1)x2+6x+9=0
2)x2-5x+4=0
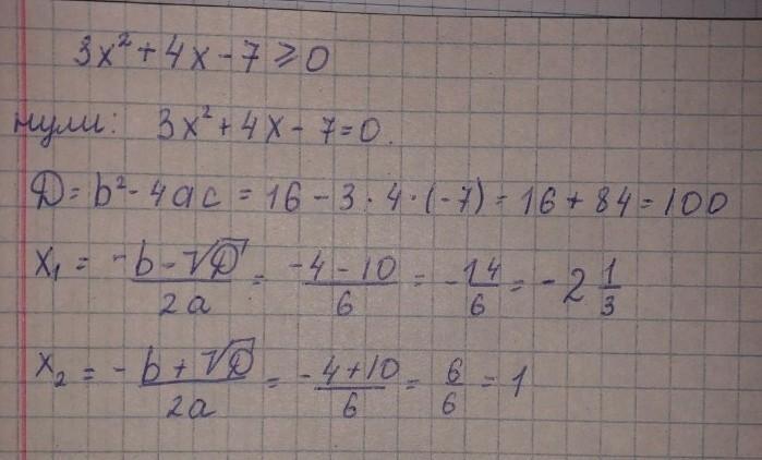
3)3x2-4x+7=0
Допоможіть будь ласка


Аноним: х2 это х в квадрате

Ответы

Ответ дал: ursulenkosvetlana9
1

1) x2 - 6x + 9 = 0

D = b2 - 4ac

D = (-6)^2-4*1*9 = 36 - 36 = 0

D=0, 1 корень

x = - b/2a

x= 6/2=3

2) x^2 - 5x + 4 = 0

D = 25 - 16 = 9 x1 = ( 5 +3)/2 = 4; x2 = ( 5 - 3)/2 = 1

3)на фото

Приложения:
Вас заинтересует