Ответы
Ответ дал:
1
Ответ:
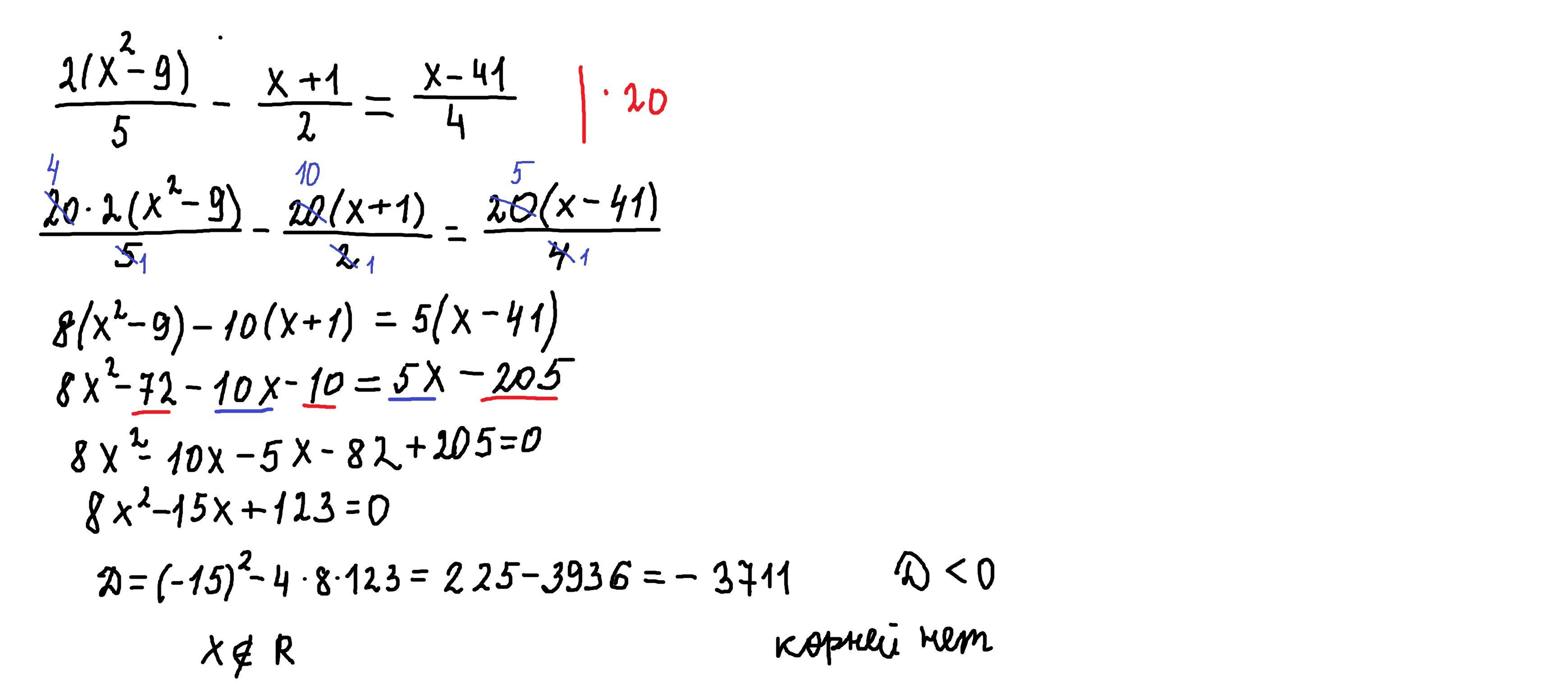
Д< 0 данное уравнение не имеет действительных корней
Объяснение:
Приложения:

miramirnaaa63:
Спасибо большое!!!
Вас заинтересует
2 года назад
2 года назад
2 года назад
2 года назад
8 лет назад
8 лет назад