• Предмет: Математика
  • Автор: avrelakuular
  • Вопрос задан 7 лет назад

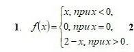
помогите решишь

не понимаю как решить​

Приложения:

Ответы

Ответ дал: sergeevaolga5
1

Ответ:

Решение в приложении

Приложения:
Вас заинтересует