• Предмет: Алгебра
  • Автор: Аноним
  • Вопрос задан 7 лет назад

срочно
даю 30 баллов

Приложения:

Ответы

Ответ дал: vnuchkalumpy
1

Объяснение:

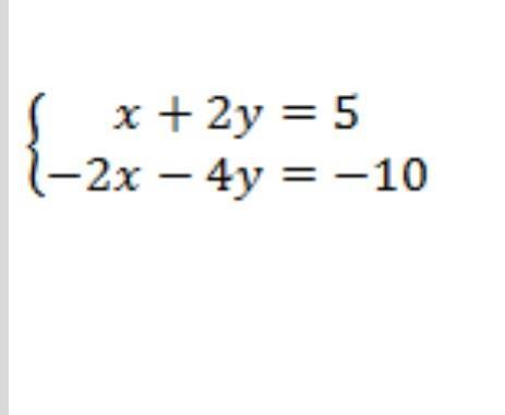
При решении методом подстановки всё сократится:

х = 5 - 2у

-2(5 - 2у) - 4у = -10

-10 + 4у - 4у = -10

-10 = -10

При решении методом сложения та же история:

х + 2у = 5

-х - 2у = -5

0 = 0

Подозреваю, что тут либо нет решений, либо подходят любые числа.

Вас заинтересует