• Предмет: Алгебра
  • Автор: amaldzhumaev68
  • Вопрос задан 7 лет назад

Помогите пожалуйста решить, даю 30 баллов! (кроме 1 и 4)

Приложения:

Ответы

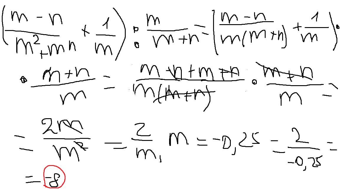
Ответ дал: MisterCotik
1

2. \sqrt{3} ≈ 1.7

3. (\sqrt{31} - 3)(√31 + 3) = 31 - 9 = 22

5.

Приложения:
Вас заинтересует