Ответы
Ответ дал:
0
Ответ:
лаоаталатвлаьыдатдвьады влаз
Приложения:

Ответ дал:
0
Відповідь:
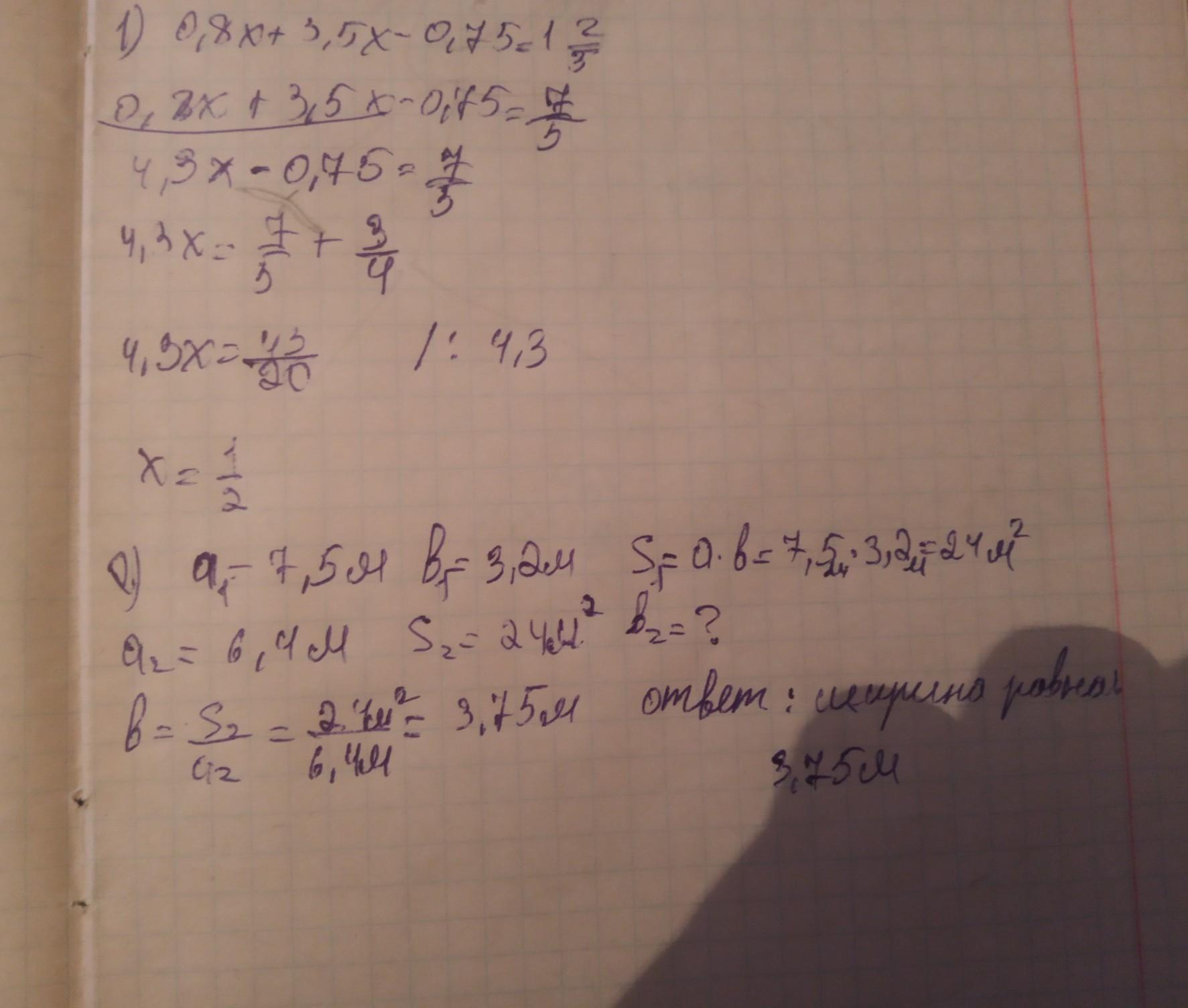
№ 1
0,8х + 3.5х-0.75 = одна целая две пятих
0.8х+ 3.5х -0.75 =1.4
4.3х =2.15
х = 2.15 : 4.3
х = 0.5
Покрокове пояснення:
№2
1)7.5 * 3.2 = 24 (м) - площадь комнати
2) 24 : 6.4 = 3.75(м) - ширина другой комнати
Вас заинтересует
2 года назад
2 года назад
8 лет назад
8 лет назад
9 лет назад