• Предмет: Математика
  • Автор: stirr
  • Вопрос задан 7 лет назад

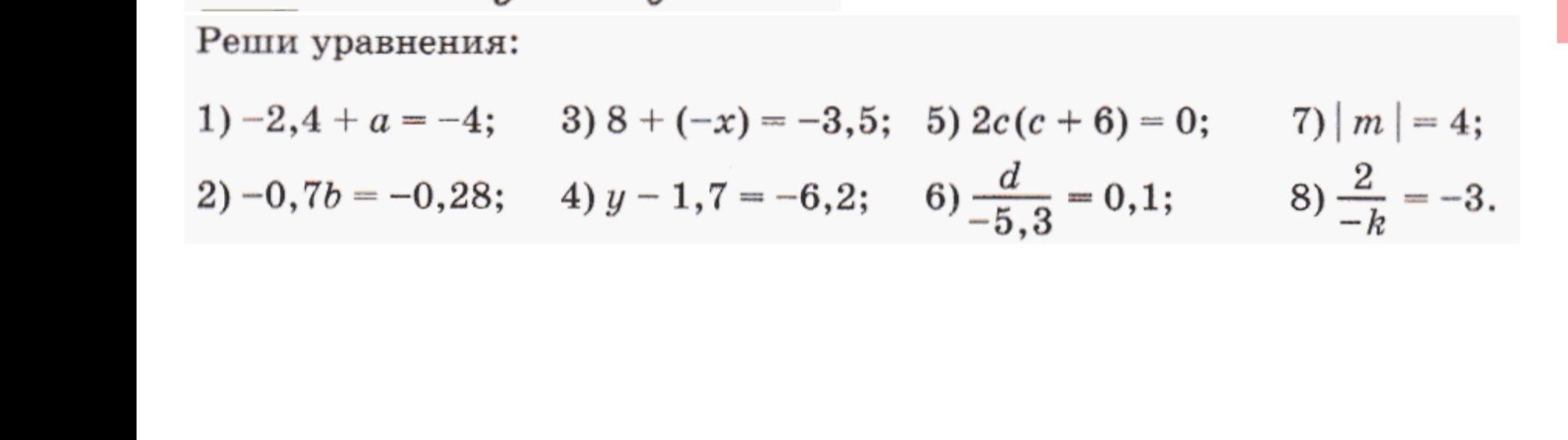
Решите уравнения пожалуйста.

Приложения:

Ответы

Ответ дал: Mairon2
0

Ответ:

см объяснение

Пошаговое объяснение:

1) a = -1.6

2)0.4

3)11.5

4)-4.5

5)

6)-0.53

7)4;-4

8)2/3

Вас заинтересует