• Предмет: Математика
  • Автор: faridikgp1fd4x
  • Вопрос задан 7 лет назад

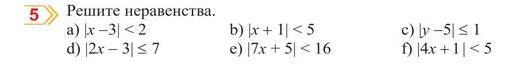
Решите неравенства, 8 класс. НА ХАЛЯВУ 90 БАЛЛОВ

Приложения:

m922: Какая же это халява? Тут же голову сломаешь пока решишь? Дети учатся обманывать других людей с детства. И то, что уровень студенческий тоже обман.
faridikgp1fd4x: это 8 класс классические неравенства.

Ответы

Ответ дал: sofiasemenovna100
0

Пошаговое объяснение:

решение на фото............

Приложения:
Вас заинтересует