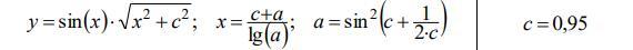
Разработать программу вычисления значений заданных функций для произвольных значений исходных данных. Выполнить тестовый расчет и расчет для заданных значений исходных данных.
Приложения:

Ответы
Ответ дал:
2
Решение:
Python
Если по порядку (ну я так понял).
import math
c = 0.95
a = math.sin(c + 1 / 2 * c) ** 2
print(a)
x = (c + a) / math.log(a)
print(x)
y = math.sin(x) * math.sqrt(x ** 2 + c ** 2)
print(y)
Если с произвольными значениями.
#y
import math
c = 0.95
x = float(input())
y = math.sin(x) * math.sqrt(x ** 2 + c ** 2)
print(f'y = {y}')
#x
import math
с, a = float(input()), float(input())
x = (c + a) / math.lgamma(a)
print(f'x = {x}')
#a
import math
c = float(input())
a = math.sin(c) ** 2 * (c + 1 / 2 * c)
print(f'a = {a}')
mishafhxfh:
https://znanija.com/task/49320949 Помогите пж даю 100 балов !
Вас заинтересует
8 лет назад
8 лет назад
9 лет назад
9 лет назад