• Предмет: Математика
  • Автор: dariamihajlisina666
  • Вопрос задан 7 лет назад

З ПОЯСНЕННЯМ!!!!
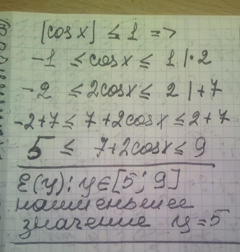
Знайдіть найменше значення функції у=7+2 cos x.​

Ответы

Ответ дал: manyny06
1

Ответ:

решение смотри на фотографии

Приложения:
Ответ дал: Amigo3
1

Ответ:

ymin=7-2=5. Все просто и успехов в науках.

Вас заинтересует