Ответы
Ответ дал:
0
Ответ:
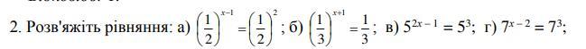
а) х=3
б) х=0
в) х=2
г) х=5
Приложения:

nazarka10:
Моя ты умничка. Спасибо
Вас заинтересует
2 года назад
2 года назад
2 года назад
2 года назад
8 лет назад
8 лет назад
9 лет назад