Помогите пожалуйста решить задания:
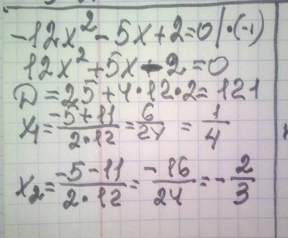
Решите уравнение -12х^2-5х+2=0
2.Составьте квадратное уравнение сумма корней которого равна 5,а произведение равно числу -8.
Ответы
Ответ дал:
1
Ответ:
решение смотри на фотографии
Приложения:


viawq:
Спасибо огромное
Вас заинтересует
2 года назад
2 года назад
2 года назад
2 года назад
8 лет назад
8 лет назад
9 лет назад