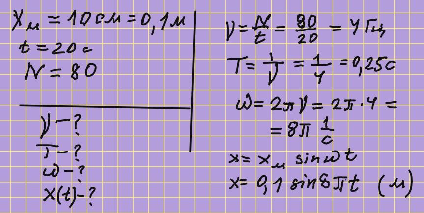
Амплітуда коливань 10 см. За 20 с виконано 80 коливань. Знайти: "ню" частоту коливань,
період "Т",
"омегу" циклічну частоту коливань,
написати рівняння коливання х=
Ответы
Ответ дал:
1
Ответ: Див. додаток
Объяснение:
Приложения:
Вас заинтересует
2 года назад
3 года назад
3 года назад
8 лет назад
8 лет назад
10 лет назад
10 лет назад