• Предмет: Физика
  • Автор: ncddp6fvzc
  • Вопрос задан 7 лет назад

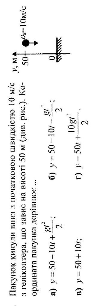
помогите!! очень нужно

Приложения:

Ответы

Ответ дал: ddxx051
0

Ответ:

вроде б ,но я не химик ээээээээээххххээжажкжк


ncddp6fvzc: Но это физика
Вас заинтересует