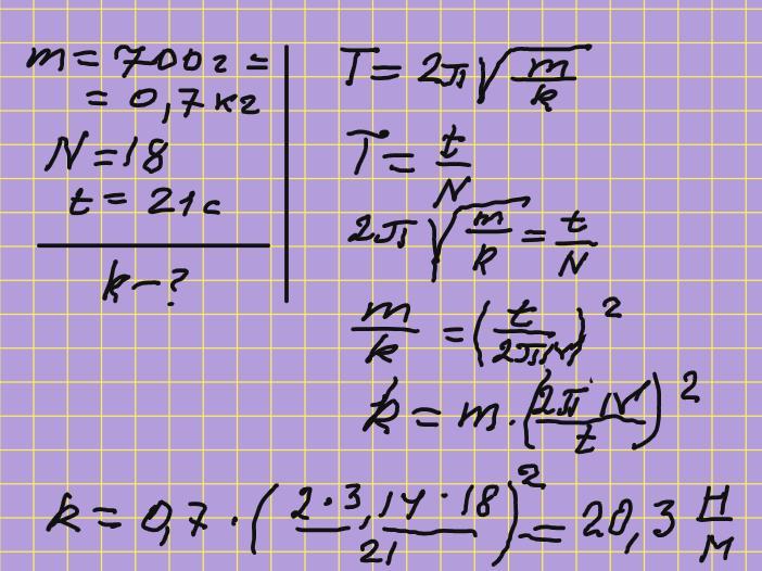
Знайдіть жорсткість пружини, якщо підвішений на ній тягарець масою 700 г здійснює 18 коливань за 21с.
Ответы
Ответ дал:
1
Ответ: 20,3 Н/м
Объяснение:
Приложения:

tkacenkoalina40:
дякую)
Вас заинтересует
2 года назад
2 года назад
2 года назад
8 лет назад