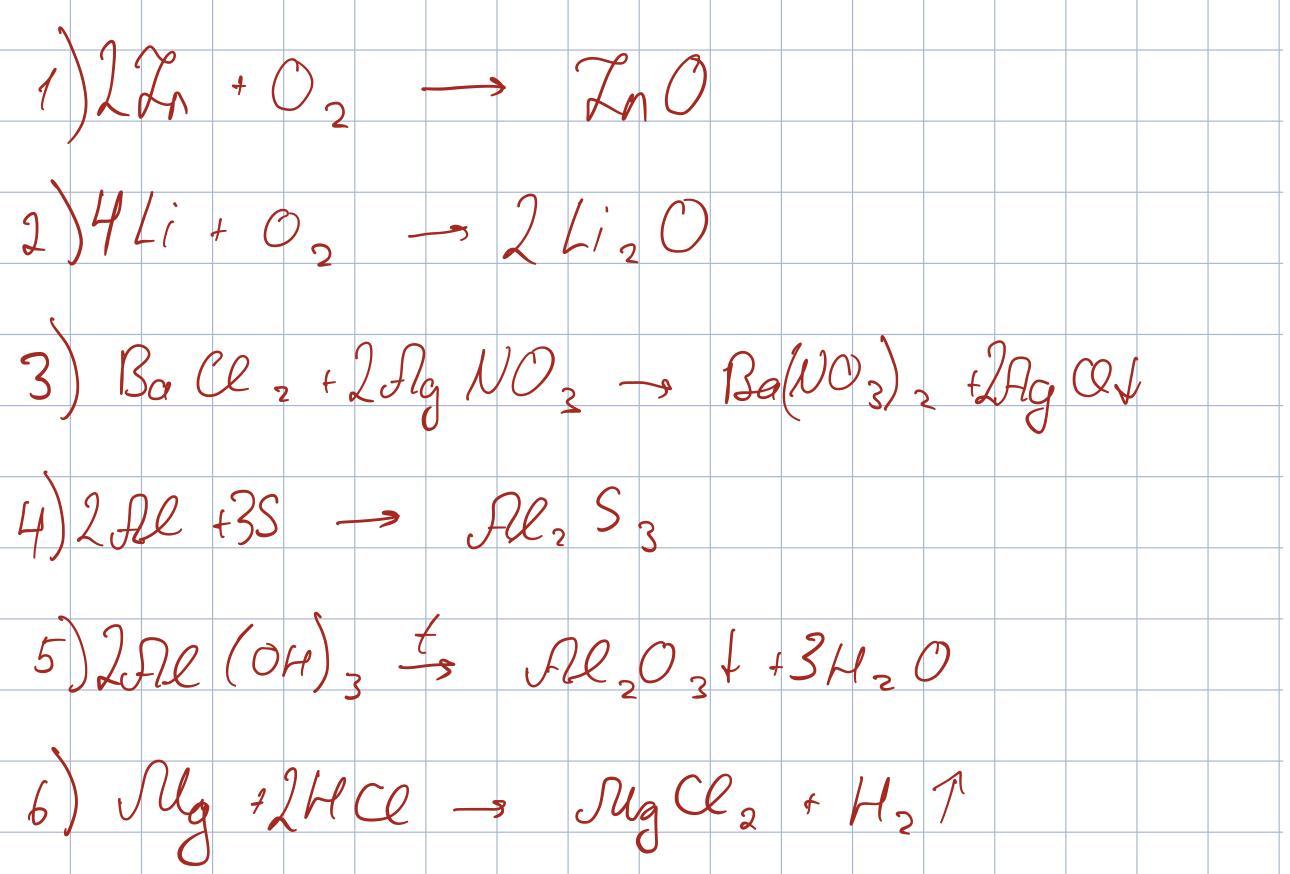
1.Складіть рівняння реакцій за наведеними схемами:
Zn + 0, ZnO; Li+O, = Li,0;
0
BaCl2 + AgNO3 = Ba (NO3)2 + AgCl;
Al + S Al,S,;
Al(OH) = А1,0, + Н,0;
Mg + HCI = MgCI, +Н,
Ответы
Ответ дал:
0
Ответ:
Объяснение:
всё в прикреплённом
Приложения:

Вас заинтересует
2 года назад
2 года назад
2 года назад
8 лет назад
8 лет назад
9 лет назад