• Предмет: Физика
  • Автор: veronika6720
  • Вопрос задан 7 лет назад

СРОЧНО ПРАВИЛЬНУ ВІДПОВІДЬ ПОЗНАЧУ ЯК КРАЩУ І ПІДПИШУСЬ

Приложения:

Ответы

Ответ дал: zybkov1950
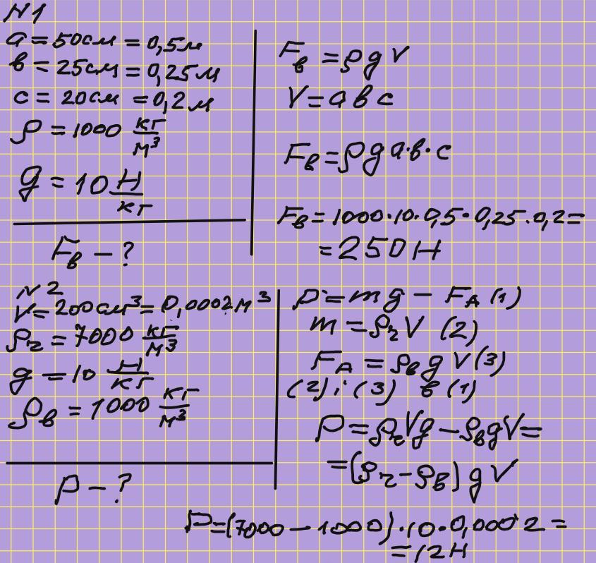
2

Ответ: 250 Н           12 Н

Объяснение:

Приложения:

veronika6720: ДУЖЕ ДЯКУЮ!!!!!!!
Вас заинтересует