Упрости выражение и найди его значение:
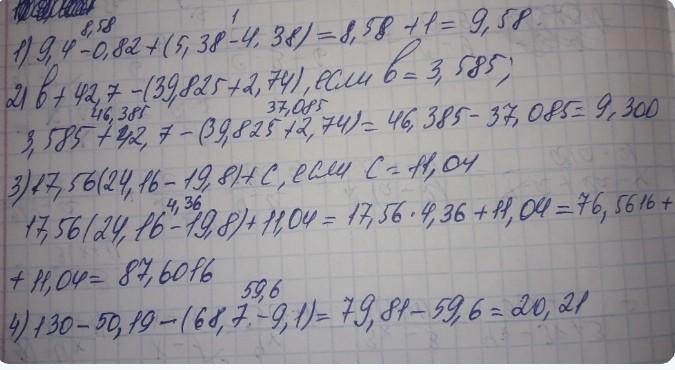
1) 9,4 + а + (5,38 - 4,38), если а = 0,82
2) б + 42,7 - (39,825 + 2,74), если б = 3,585 3) 17,56 - (24,16 - 19,8) + с, если с = 11,04
4) д - 50,19 - (68,7 - 9,1), если д = 130
Ответы
Ответ дал:
0
Ответ:
лвжывгоыыщязыхвчоыжыжфзызы
Приложения:

Вас заинтересует
2 года назад
2 года назад
2 года назад
2 года назад
8 лет назад
8 лет назад
9 лет назад
9 лет назад