• Предмет: Алгебра
  • Автор: artembro410
  • Вопрос задан 7 лет назад

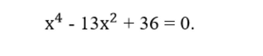
розв'яжіть біквадратне рівняння:​

Приложения:

Ответы

Ответ дал: Dashka0802
0

Объяснение:

заміна : х²=у

у²-13у+36=0

у1 = 9 у2 = 4

обернена заміна :

х² = 9 або х² = 4

х = ±3 х = ±2

Вас заинтересует