• Предмет: Физика
  • Автор: FurnoNeitr
  • Вопрос задан 7 лет назад

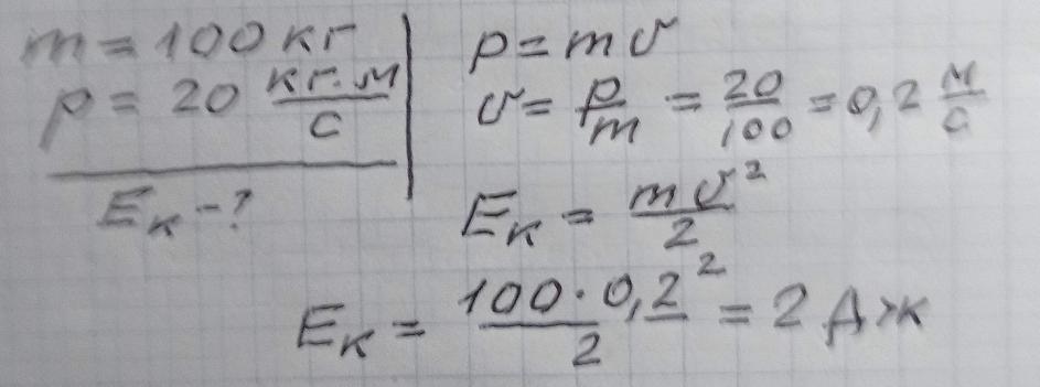
Якою є кінетична енергія тіла масою 100 кг якщо його імпульс дорівнює 20 кг м/c?

Ответы

Ответ дал: zybkov1950
1

Ответ: 2 Дж

Объяснение:

Приложения:
Вас заинтересует