решите не равенство
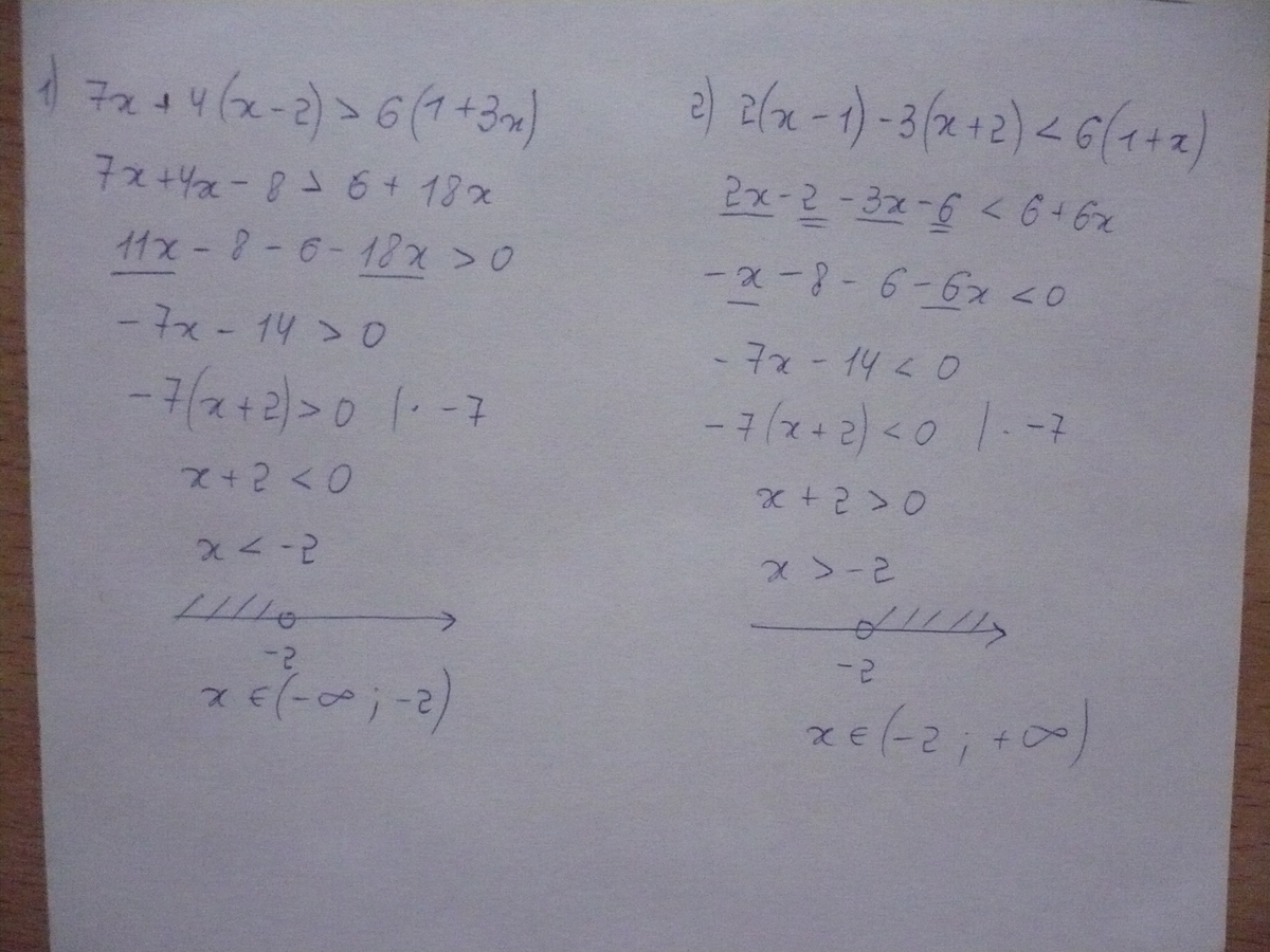
1)7х+4(х-2)>6(1+3х)
2)2(х-1)-3(х+2)<6(1+х)
3) 7(у+3)-2(у+2)> или равно 2(5у+1)
4)6(3+5у)-(2+7у)< или равно 5(4+3у)
5) 4(3у-1) -3(у-1) > 2(3+у)
помогите пожалуйста
Ответы
Ответ дал:
0
нууу,как-то так...))))
Приложения:
Вас заинтересует
3 года назад
3 года назад
8 лет назад
8 лет назад
11 лет назад
11 лет назад
11 лет назад
11 лет назад