• Предмет: Алгебра
  • Автор: vanagolub872
  • Вопрос задан 7 лет назад

Срочно!!!!
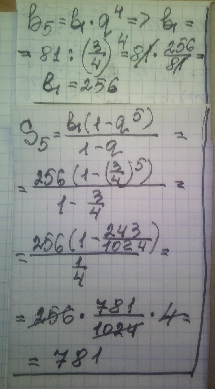
У геометричній прогресії (bn): b5=81, q=3/4. Знайдіть перший член прогресії та суму п'яти її перших членів. ​

Ответы

Ответ дал: marinagavdush
1

Ответ:

781

Объяснение:

дивитись фотографію

Приложения:
Ответ дал: manyny06
1

Ответ:

решение смотри на фотографии

Приложения:
Вас заинтересует