• Предмет: Математика
  • Автор: ivannalukancuk244
  • Вопрос задан 7 лет назад

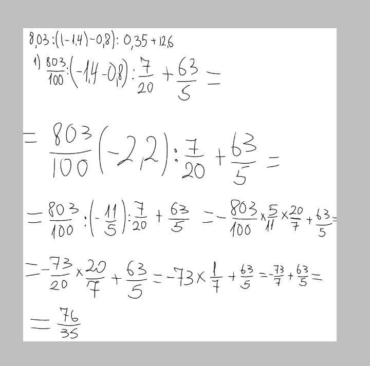
Срочно обчислить 8,03:(-1,4)-0,8):0,35+12,6

Ответы

Ответ дал: lis008
0

Ответ:

- 7,4 вот ответ на вопрос

Ответ дал: mariagorbenko9
1

.....................

Приложения:
Вас заинтересует