• Предмет: Алгебра
  • Автор: VladimirAnohov
  • Вопрос задан 7 лет назад

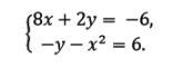
Решите систему уравнений.

Приложения:

Ответы

Ответ дал: alekseenkodin
0

Ответ:

ььььььььььььььььььььььььььььь

Приложения:
Вас заинтересует