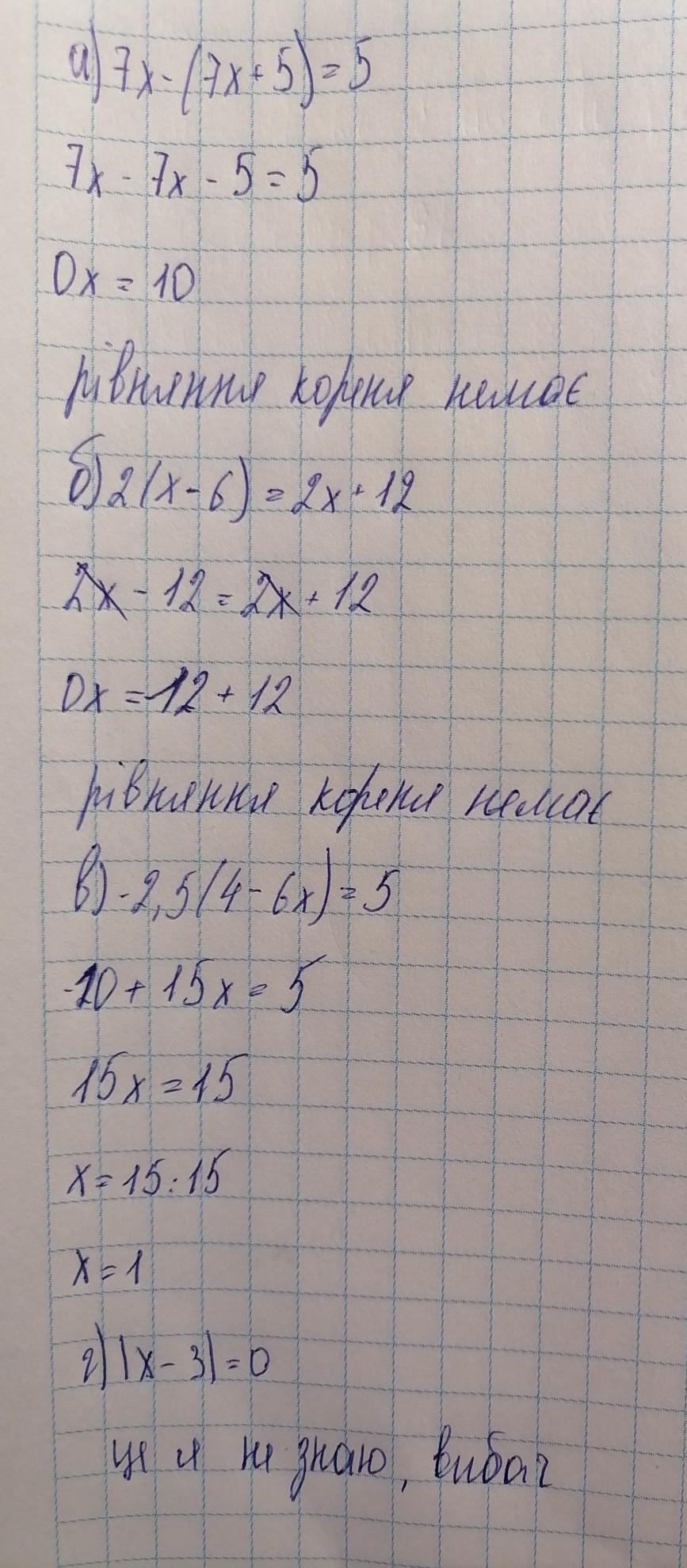
Розв'яжи рівняння
а) 7x – (7х + 5) = 5
б) 2(х – 6) = 2х + 12
в) -2,5(4 – 6x) = 5
г) Ix – 3|= 0
допоможіть будь ласка
Ответы
Ответ дал:
0
Ответ:
а) я не знаю
б тоже
в тоже
г х =0-3
х= -3
Ответ дал:
0
Ответ:
Відкрий фото там написано все окрім г)
Приложения:

Вас заинтересует
2 года назад
2 года назад
2 года назад
8 лет назад
8 лет назад
9 лет назад