• Предмет: Математика
  • Автор: sapaeva07diana
  • Вопрос задан 7 лет назад

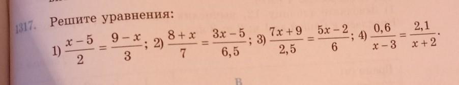
решите пожалуйста, только желательно фото, умоляю, очень надо​

Приложения:

Ответы

Ответ дал: hdhdej
1

Ответ:

приложение photomath, просто вставь картинку и оно решит)

Пошаговое объяснение:

.

Приложения:
Вас заинтересует