• Предмет: Информатика
  • Автор: bohdanfostunak2103
  • Вопрос задан 7 лет назад

Крч сказала розвязати за допомогую коду.прорама Пайтон SOS SOS SOS SOS

Приложения:

Ответы

Ответ дал: lolchozamem
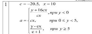
1

Ответ:

y=int(input('Введите y  '))

c=-20.5

x=10

a=0

if y<0:

   a=(y+16*c*x)/(c*x)

elif 0<=y<5:

   a=c*x

elif y>=5:

   a=(y-c*x)/(c+1)

print(f'a = {round(a,2)}')


bohdanfostunak2103: спасибоооооооооооооооооооооооооооооооооооооооооооооооооооооооооооооооооооооооооооооооооооооооооооооооооооооооооооооооооооооооооооооооооооооооооооооооооооооооооооооооооооооооооооооооооооооооооооооооооооооооооооооооооооооооооооооооооооооооооооооооооооооооооооооооооооооооооооооооооооооооооооооооооооооооооооооооооооооооооооооооооооооооооооооооооооооооооооооооооооооооооооооооооооооооооооооооооооооооооооооооооооооооооооооооооооооооооооооооооооо
bohdanfostunak2103: СПАСИБО МОЖЕЖ ПЖ РОЗВЯЗАТЬ МНЕ ЗАВДННЯ ОСТАННЯ ДАЮ 100 БАЛОВ ПЖ
Ответ дал: angryfukse
1

c = float(-20.5)

x = int(10)

y = int(input('Введите y: '))

if y < 0:

   a = round(((y + 16 * c * x) / (c * x)), 3)

elif (y >= 0) and (y < 5):

   a = c * x

else:

   a = round((y - c * x) / (c + 1), 3)

print(str(a))

Приложения:

bohdanfostunak2103: спасибоооооооооооооооооооооооооооооооооооооооооооооооооооооооооооооооооооооооооооооооооооооооооооооооооооооооооооооооооооооооооооооооооооооооооооооооооооооооооооооооооооооооооооооооооооооооооооооооооооооооооооооооооооооооооооооооооооооооооооооооооооооооооооооооооооооооооооооооооооооооооооооооооооооооооооооооооооооооооооооооооооооооооооооооооооооооооооооооооооооооооооооооооооооооооооооооооооооооооооооооооооооооооооооооооооооооооооооооооооо
bohdanfostunak2103: ПРИВЕТ МОЖЕШ МНЕ ОСТАННЄ ЗАВДАННЯ РОЗВ ДАЮ 100 БАЛОВ ПЖ У МЕН КР
bohdanfostunak2103: ПРИВЕТ МОЖЕШ МНЕ ОСТАННЄ ЗАВДАННЯ РОЗВ ДАЮ 40 балов соссссссссссссссс SOS ТОЛЬКО ШТО КИНУЛ
Вас заинтересует