• Предмет: Алгебра
  • Автор: adelinagrincenko03
  • Вопрос задан 7 лет назад

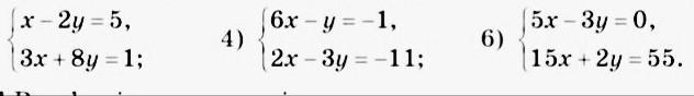
Помогите пожалуйста с алгеброй

Приложения:

Ответы

Ответ дал: dronkinaliza84
1
11,34,56,78
Вроде так хз
Ответ дал: maksimkulchinsky7
0

Ответ:

Объяснение: немного начеркал

Приложения:
Вас заинтересует