• Предмет: Математика
  • Автор: 108ffm
  • Вопрос задан 7 лет назад

Как здесь появилось 25? Помогите, пожалуйста

Приложения:

natalyabryukhova: предпоследняя строка. Обе части возвели в квадрат
108ffm: А зачем так нужно было делать?
108ffm: Подождите
108ffm: А скобки это коснулось?
108ffm: Вроде нет же

Ответы

Ответ дал: natalyabryukhova
0

Ответ:

Ответ: 6

Пошаговое объяснение:

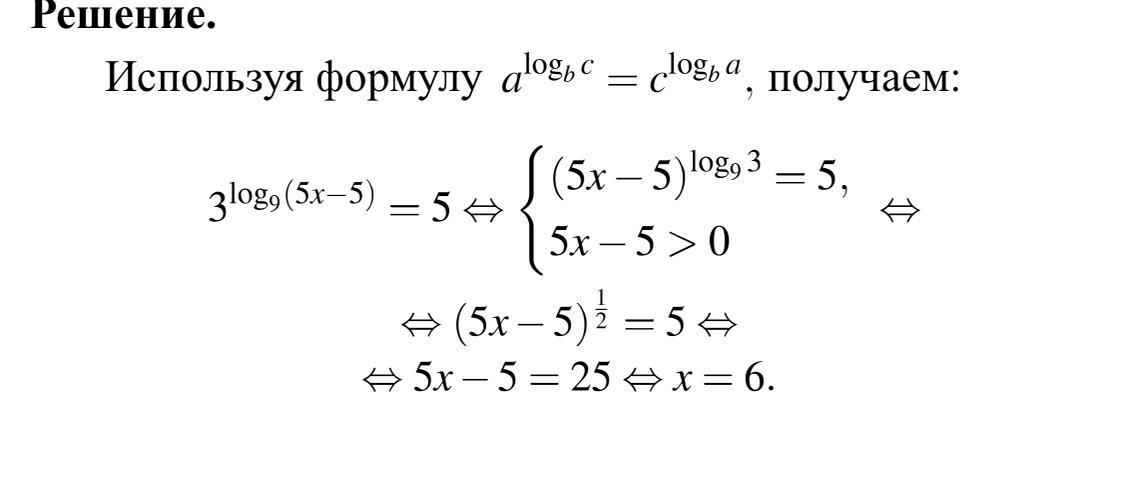
Решить уравнение.

\displaystyle        3^{log_9(5x-5)}=5\\

  • Число логарифма положительно.

⇒ 5x - 5 > 0

Преобразуем левую часть, используя формулу:

\displaystyle        a^{log_bc}=c^{log_ba}

\displaystyle        3^{log_9(5x-5)}=(5x-5)^{log_93}

Получим систему:

\displaystyle       \left \{ {{(5x-5)^{log_93}=5} \atop {5x-5 > 0}} \right. \\\\  \left \{ {{(5x-5)^{log_33^{\frac{1}{2} }}=5} \atop {5x > 5}} \right. \\\\  \left \{ {{(5x-5)^{\frac{1}{2}}=5} \atop {x > 1}} \right. \\\\\left \{ {{\sqrt{5x-5}=5 } \atop {x > 1}} \right.

Возведем обе части уравнения в квадрат:

\displaystyle        \left \{ {{5x-5=25} \atop {x > 1}} \right. \\\\\left \{ {{5x=30\;\;\;|:5} \atop {x > 1\;\;\;\;\;\;\;\;\;\;}} \right.\\ \\\left \{ {{x=6} \atop {x > 1}} \right.

Ответ: 6

Вас заинтересует