• Предмет: Математика
  • Автор: 108ffm
  • Вопрос задан 7 лет назад

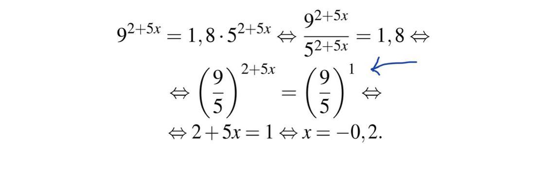
Почему 9/5 получило степень 1? Пишите

Приложения:

Ответы

Ответ дал: abriutin
0

Ответ:

См.

Пошаговое объяснение:

В правой части уравнения (после деления левой и правой части на 5^{2+5x}) число 1,8.

Это число можно представить, как:

\frac{18}{10} = \frac{9}{5}

Полученное число \frac{9}{5} не изменит своего значения, если его возвести в первую степень.

Значит, 1,8 можно представить, как ( \frac{9}{5}) ¹

Вас заинтересует