• Предмет: Алгебра
  • Автор: nataguslyakova77
  • Вопрос задан 7 лет назад

ПОМОГИТЕ СРОЧНО 8КЛАСс

Приложения:

Ответы

Ответ дал: maksyakup
1

Ответ:

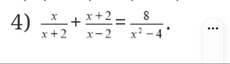
\frac{x}{x+2}+\frac{x+2}{x-2} = \frac{8}{x^2-4}  \\\frac{x}{x+2}+\frac{x+2}{x-2} - \frac{8}{x^2-4}=0\\\frac{x^2-2x+x^2-4-8}{x^2-4} = 0\\ODZ: x^2-4\neq 0\\x\neq 2\\x\neq -2

2x^2-2x - 12=0 |:2\\x^2-x-6=0\\ \\Teorema Vieta\\x_{1} =3\\x_{2} =-2.

Ответ х=3.

Объяснение:

х=-2 не является решением. ОДЗ

Ответ дал: eyggen
1

Ответ:

1

Объяснение:

 \frac{x}{x + 2}  +  \frac{x + 2}{x - 2}  =  \frac{8}{ {x}^{2}  - 4}  \\ \frac{x(x - 2)}{ {x}^{2} - 4 }  +  \frac{ {(x + 2)}^{2} }{ {x}^{2} - 4 }  -  \frac{8}{ {x}^{2}  - 4}  = 0 \\  \frac{ {x}^{2} - 2x +  {x}^{2} + 4x + 4 - 8  }{ {x}^{2}  - 4}  = 0 \\  \frac{2 {x}^{2} + 2x  - 4 }{ {x}^{2}  - 4}  = 0 \\  2 {x}^{2}  + 2x - 4 = 0 \\  {x}^{2}  + x - 2 = 0 \\ x1 = 1 \\ x2 =  - 2

ОДЗ:

х²-4≠0

х²≠4

х≠±2

Вас заинтересует