• Предмет: Математика
  • Автор: SuzukiElen
  • Вопрос задан 7 лет назад

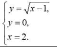
Найти площадь фигуры, ограниченной линиями. Помогите, прошу!

Приложения:

Ответы

Ответ дал: slavnijslava905
0

Ответ:

Пошаговое объяснение:

\sqrt{x} \pi \alpha \beta \int\limits^a_b {x} \, dx hgjuygbh\\ hjn\geq \leq \left[\begin{array}{ccc}1&2&3\\4&5&6\\7&8&9\end{array}\right]


SuzukiElen: это не так решается
Вас заинтересует