• Предмет: Математика
  • Автор: katyachikucha
  • Вопрос задан 7 лет назад

пожалуйста срочно!!!6класс​

Приложения:

Ответы

Ответ дал: lilataran618
0

Ответ:

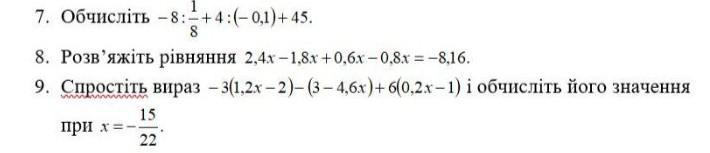
8.

2,4х - 1,8х+ 0,6х-0,8х= –8,16

1,8+0,6=2,4

2,4-0,8= 1,6

1,6-2,4= –0,8

Вас заинтересует