• Предмет: Математика
  • Автор: fhctybqh
  • Вопрос задан 7 лет назад

нужно прямо срочно решить, помогите, всего наилучшего вам

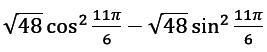
Приложения:

Ответы

Ответ дал: kirilrybalko5
0

Ответ:

лови

Пошаговое объяснение:

Приложения:
Вас заинтересует