• Предмет: Информатика
  • Автор: arturremhel97
  • Вопрос задан 7 лет назад

СРОЧНО!!!! (Python)

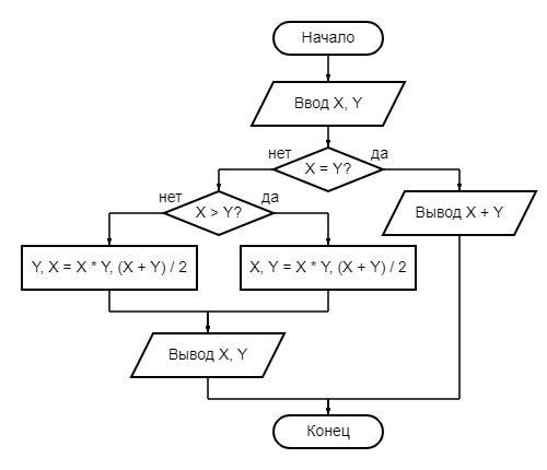
Задание №3. Даны действительные числа ХиҮ, которые не равны друг дру- гу. Представьте алгоритм замены наименьшего из этих двух чисел в их сред- нее арифметическое, а наибольшее – в их произведение в виде блок-схемы и запишите его программный код. Если будут вводиться равные числа, то выведите их сумму на экран. Например Результат 20 10 20 20 200 15 40​

Приложения:

Ответы

Ответ дал: vimmortal2
1

Программа:
Python:

X, Y = map(float, input().split())

if X == Y:

  print(round(X + Y))

elif X > Y:

  X, Y = X * Y, (X + Y) / 2

  print(round(X), round(Y))

else:

  Y, X = X * Y, (X + Y) / 2

  print(round(X), round(Y))

Блок-схема на фото.

Объяснение:

В начале вводятся числа X, Y в одну строку, через пробел. Если числа равны, выводим их сумма (всё равно, что Х + Х или Y + Y). Результат округлим, чтобы не было, например, нуля после точки. Если X > Y, делаем действия, значит X равен произведению чисел; Y - среднее значение чисел X и Y. А если Y > X, то просто меняем местами числа при вычислении.

Результат:

20 10

200 15

35 35

70

10 15

12 150

Приложения:

tihot63: а можно без елиф
Вас заинтересует