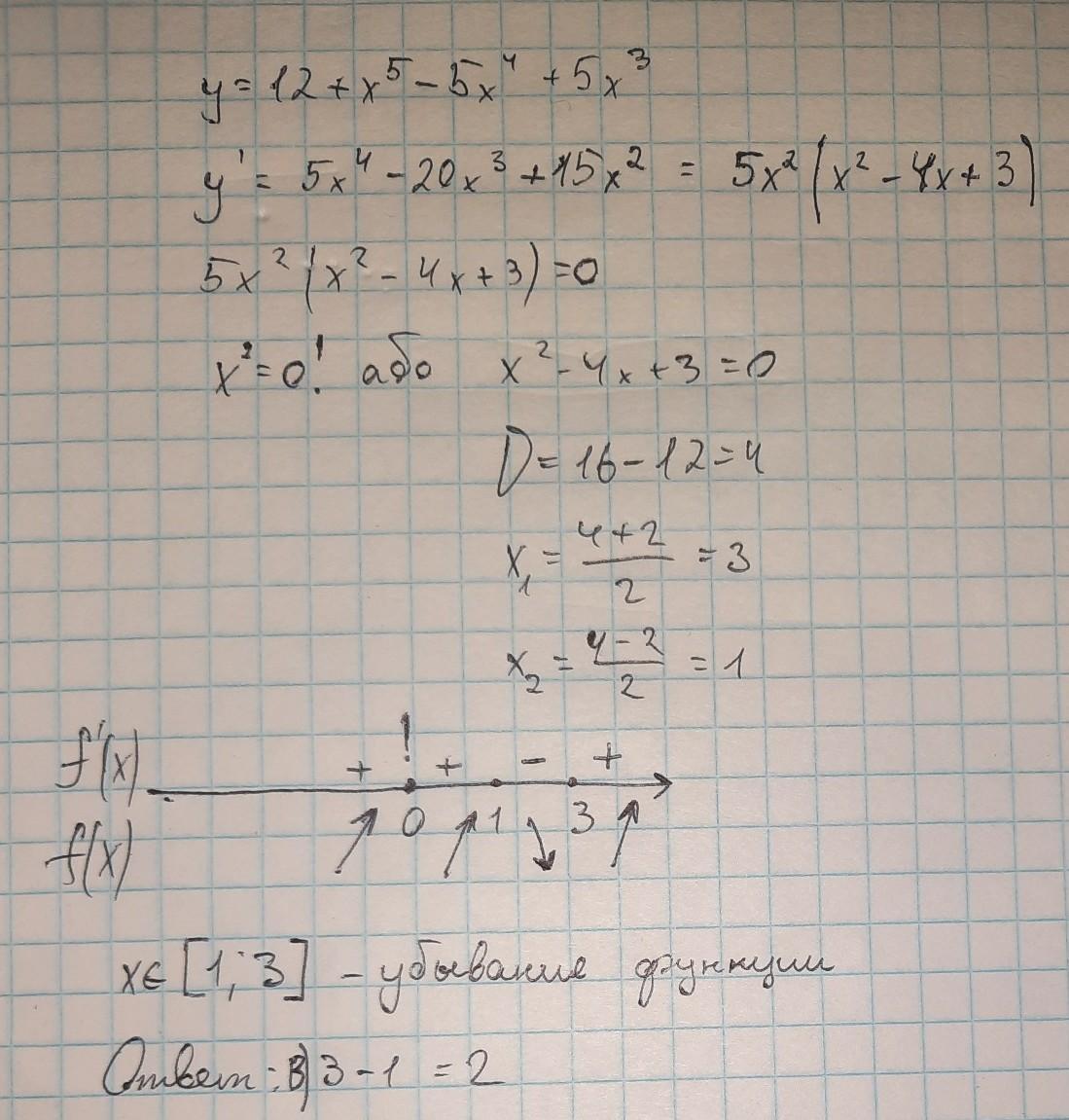
Длина промежутка убывания функции y = 12 + x^5— 5х^4 + 5х3 равна: А) 1; B) 2; C) 3; D) 3,5.
MISTYRKAT:
Есть весь ответ теста?!
Ответы
Ответ дал:
3
Ответ:
В) 2
Объяснение:
/////////////////////////
Приложения:

Вас заинтересует
2 года назад
2 года назад
2 года назад
2 года назад
8 лет назад
8 лет назад
9 лет назад