• Предмет: Алгебра
  • Автор: Anela0
  • Вопрос задан 7 лет назад

Помогите (по возможности объясните), пожалуйста



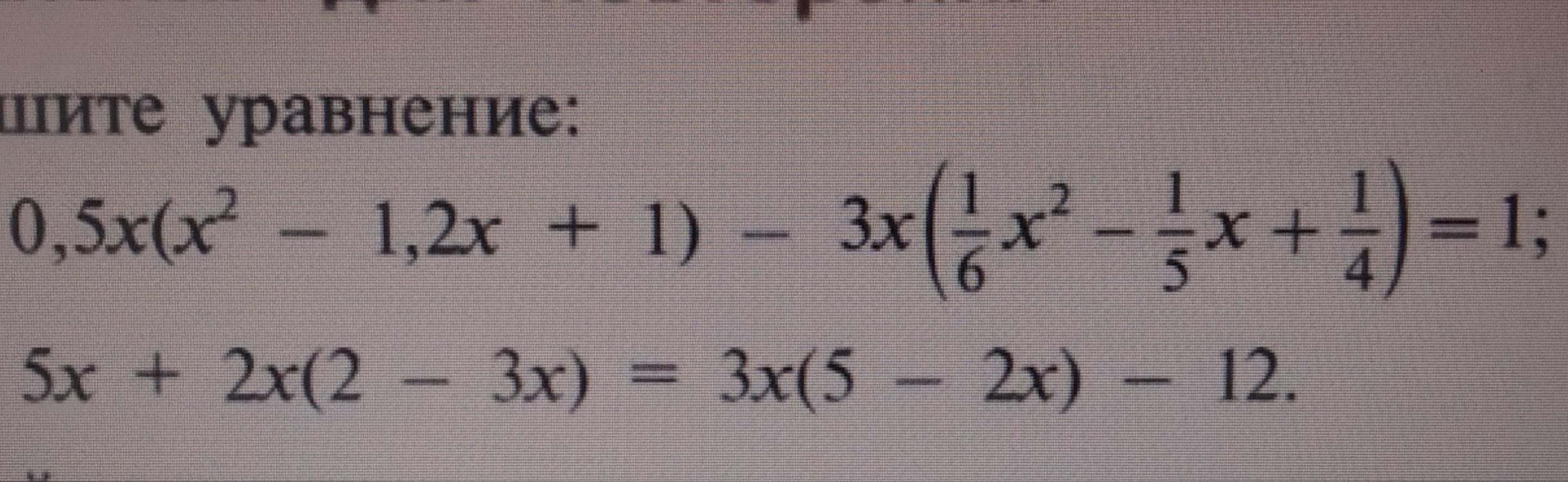
Решите уравнение:

Приложения:

Ответы

Ответ дал: fenix6810
1

1) 0,5x³-0,6x²+0,5x-0,5x³+0,6x²-0,75x=1

0,5x-0,75x=1

-0,25x=1

x=-4

2) 5x+2x-6x²=15x-6x²-12

8x=12

x=3/2

Вас заинтересует
8 лет назад