• Предмет: Алгебра
  • Автор: cvcvczxz
  • Вопрос задан 7 лет назад

НАПИШИТЕ НА ЛИСТИКЕ ПОЖАЛУЙСТА РЕШЕНИЕ​

Приложения:

Ответы

Ответ дал: NNNLLL54
0

Ответ:

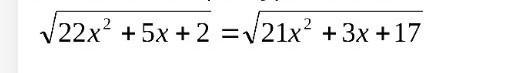
\sqrt{22x^2+5x+2}=\sqrt{21x^2+3x+17} \ \ ,\ \ \ ODZ:\ \left\{\begin{array}{l}22x^2+5x+2\geq 0\\21x^2+3x+17\geq 0\end{array}\right

Возведём обе части уравнения , которые принимают неотрицательные значения, в квадрат.

22x^2+5x+2=21x^2+3x+17\\\\x^2+2x-15=0\ \ ,\ \ x_1=-5\ ,\ x_2=3\ \ (teorme Vieta)

Чтобы не решать громоздкое ОДЗ, сделаем проверку. Подставим числовые значения х в уравнение .

1)\ x=-5:\ \sqrt{22\cdot 5^2-5\cdot 5+2}=\sqrt{21\cdot 5^2-3\cdot 5+17}\ ,\ \ \sqrt{527}=\sqrt{527}\\\\2)\ \ x=3:\ \ \sqrt{22\cdot 3^3+5\cdot 3+2}=\sqrt{21\cdot 3^2+3\cdot 3+17}\ ,\ \ \sqrt{215}=\sqrt{215}  

 Otvet:\ x_1=-5\ ,\ x_2=3\ .  

Вас заинтересует