• Предмет: Алгебра
  • Автор: umaru1111chan
  • Вопрос задан 7 лет назад

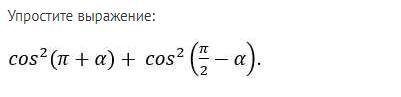
нужна помощь с алгеброй. упростите выражение

Приложения:

Ответы

Ответ дал: ostashovdenisk
1

Ответ:

1

Объяснение:

Формулы привидения: cos(π+α) = -cos(α), cos(π/2 - α) = sin(α). Тогда

cos^2(π+α)+cos^2(π/2 - α)=(-cos(α))^2 + (sin(α))^2 = cos^2(α)+sin^2(α)=1

Вас заинтересует