100 баллов
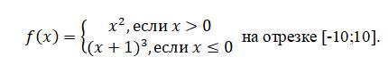
Выполните задание средствами табличного редактора. Постройте график функции.
Все расчёты должны быть выполнены в табличном редакторе с использованием встроенных функций. Ручной ввод расчётных значений недопустим и автоматически приводит к неудовлетворительной оценке.
Для выполнения можно использовать: MS Excel
Приложения:
Ziorar:
Вводите например в столбце B значения икс (числа от -10 до 10). В следующем столбце (C) напротив чисел пишите формулу =ЕСЛИ(X>0;X^2;(X+1)^3) Но только вместо X нужно указать ссылку на соседнюю ячейку со значением икс. Формулу нужно ввести один раз, а затем скопировать эту ячейку и вставить в остальные, напротив значений икс. Дальше надо добавить точечную диаграмму XY (график), в диалоге укажите диапазоны значений икс и значений игрек (это там, где наши формулы).
Ответы
Ответ дал:
1
Ответ:
Таблица представлена в прикреплённом файле.
Объяснение:
Алгоритм действий такой:
- Подписываем (обозначаем) столбец A как "X" - в ячейке А1 пишем "Х".
- Подписываем столбец В как "Y" - в ячейке В1 пишем "Y".
- Столбец X заполняем от -10 до 10 с интервалом 1. В ячейку А2 пишем -10, в ячейку А3 пишем формулу: =A2 + 1. Протягиваем формулу к ячейке А22.
- В столбец Y вписываем формулу (пишем её в В2 и протягиваем до В22): =ЕСЛИ(A2 > 0; A2 * A2; (A2 + 1)^3).
- Выделяем диапазон ячеек А1:В22 и создаём точечную диаграмму с гладкими кривыми.
Готово!
Приложения:
спасибо!!!!!!!!
Вас заинтересует
2 года назад
3 года назад
3 года назад
8 лет назад
8 лет назад
10 лет назад