• Предмет: Алгебра
  • Автор: Тэшка5
  • Вопрос задан 11 лет назад

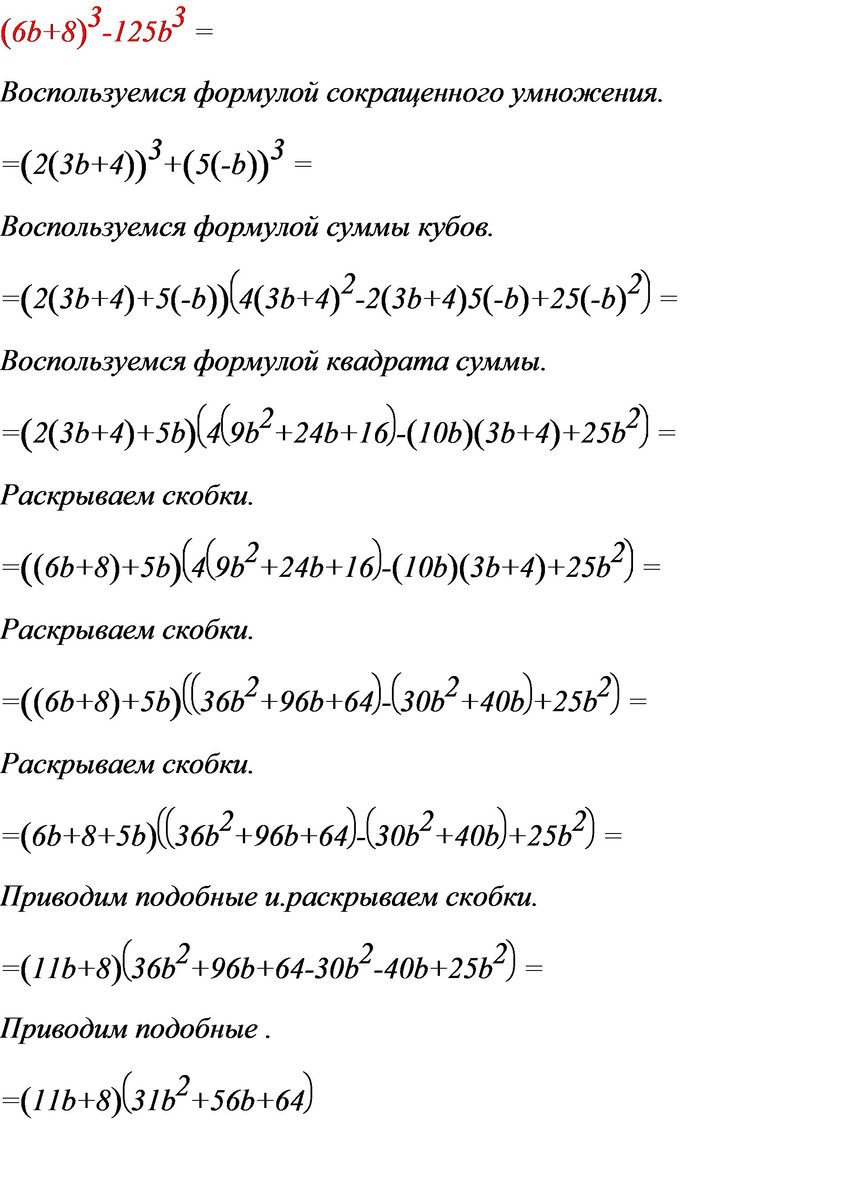
Помогите с объяснением ответа,пожалуйста,очень важно! Разложить на множители (6b+8)(в кубе) - 125b(в кубе)

Ответы

Ответ дал: triolana
0

файл

=================================

Приложения:
Вас заинтересует