• Предмет: Алгебра
  • Автор: Аноним
  • Вопрос задан 7 лет назад

Пожалуйста помогите даю 50 баллов и подпишусь​

Приложения:

Ответы

Ответ дал: NNNLLL54
0

Ответ:

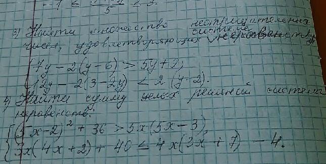
3)

\left\{\begin{array}{l}7y-2(y-6) > 5y+9\\12y-2(3-2y) < 2(y-2)\end{array}\right\ \ \left\{\begin{array}{l}7y-2y+12 > 5y+9\\12y-6+4y < 2y-4\end{array}\right\ \ \left\{\begin{array}{l}5y+12 > 5y+9\\16y-6 < 2y-4\end{array}\right\\\\\\\left\{\begin{array}{l}12 > 9\\14y < 2\end{array}\right\ \ \left\{\begin{array}{l}y\in (-\infty ;+\infty )\\y < \dfrac{1}{7}\end{array}\right\ \ \ \Rightarrow \ \ \ y < \dfrac{1}{7}

Множество неотрицательных чисел , удовлетворяющих заданной системе неравенств - это числа, принадлежащие промежутку  \Big[\ 0\ ;\ \dfrac{1}{7}\ \Big)

4)\ \ \left\{\begin{array}{l}(5x-2)^2+36 > 5x(5x-3)\\3x(4x+2)+40\leq 4x(3x+7)-4\end{array}\right\ \ \left\{\begin{array}{l}25x^2-20x+4+36 > 25x^2-15x\\12x^2+6x+40\leq 12x^2+28x-4\end{array}\right\\\\\\\left\{\begin{array}{l}-20x+40 > -15x\\6x+40\leq 28x-4\end{array}\right\ \  \left\{\begin{array}{l}40 > 20x-15x\\4+40\leq 28x-6x\end{array}\right\ \ \left\{\begin{array}{l}5x < 40\\22x\geq 44\end{array}\right\ \ \left\{\begin{array}{l}x < 8\\x\geq 2\end{array}\right\ \Rightarrow

Решение системы   2\leq x < 8  

Целые решения системы - это  x=2,x=3,x=4,x=5,x=6,x=7 .

Их сумма равна  2+3+4+5+6+7=27\ .

Вас заинтересует