• Предмет: Алгебра
  • Автор: justfuf90
  • Вопрос задан 7 лет назад

Объясните пж не могу понять как решить.

Приложения:

serg11k: Привет. Мог бы попробовать решить, но не дают ответить))
justfuf90: пытался решить но не получается.
serg11k: Есть лимит времени решения у Вас?
serg11k: сейчас попробую
justfuf90: да до завтра есть время, мне бы просто хорошее объяснение чтоб всё понять.

Ответы

Ответ дал: serg11k
1

Ответ:

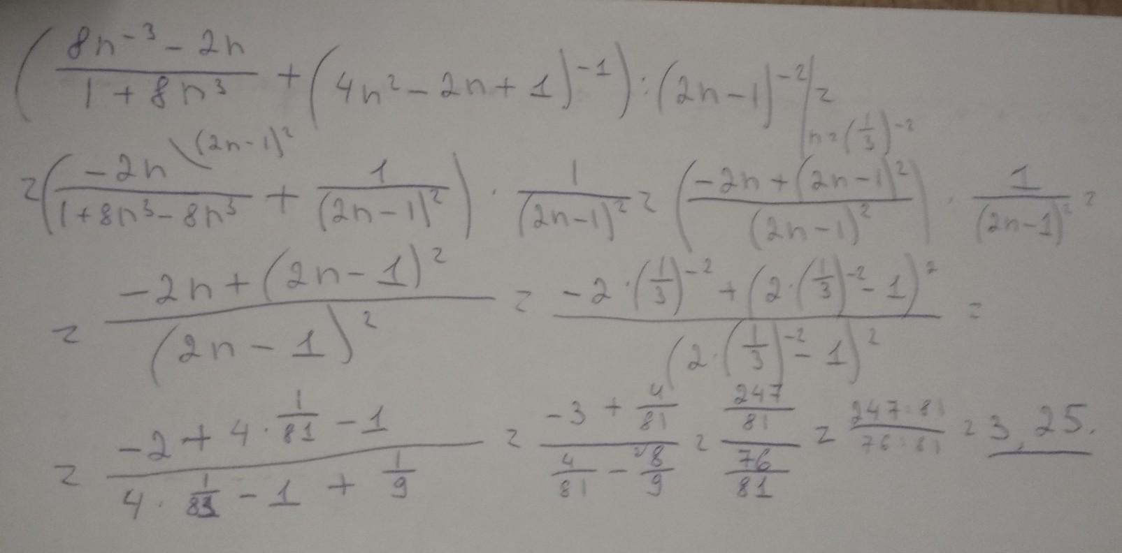
Глянь, на фото. Если что не понятно, например почерк, пиши, объясню

Извиняюсь, не по тому заданию...

Приложения:

justfuf90: из-за яркости почти не вижу на что до множать, но результаты ответа у меня были совершенно други спс за помощь, думаю щас я разберусь.
serg11k: могу сейчас переписать, чтобы лучше и понятнее было
justfuf90: если не сложно просто я что-то не вижу из-за размытия и понять не могу
justfuf90: нет скорее всего я подойду к преподавателю ибо так я уж точно не разберусь.
justfuf90: спасибо за попытку помочь
serg11k: Исправил, но сам не понимаю этого... То выходит 1, то. 3,25... Хорошей учебы, друг
Вас заинтересует