Ответы
Ответ дал:
0
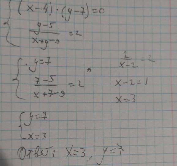
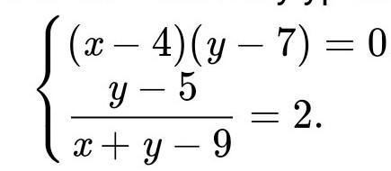
Ответ:
x=3, y=7 (если брать x=4, то второе равенство не пройдёт)
Пошаговое объяснение:
Приложения:

Вас заинтересует
2 года назад
2 года назад
2 года назад
8 лет назад
8 лет назад
9 лет назад
9 лет назад