• Предмет: Алгебра
  • Автор: Тэшка5
  • Вопрос задан 11 лет назад

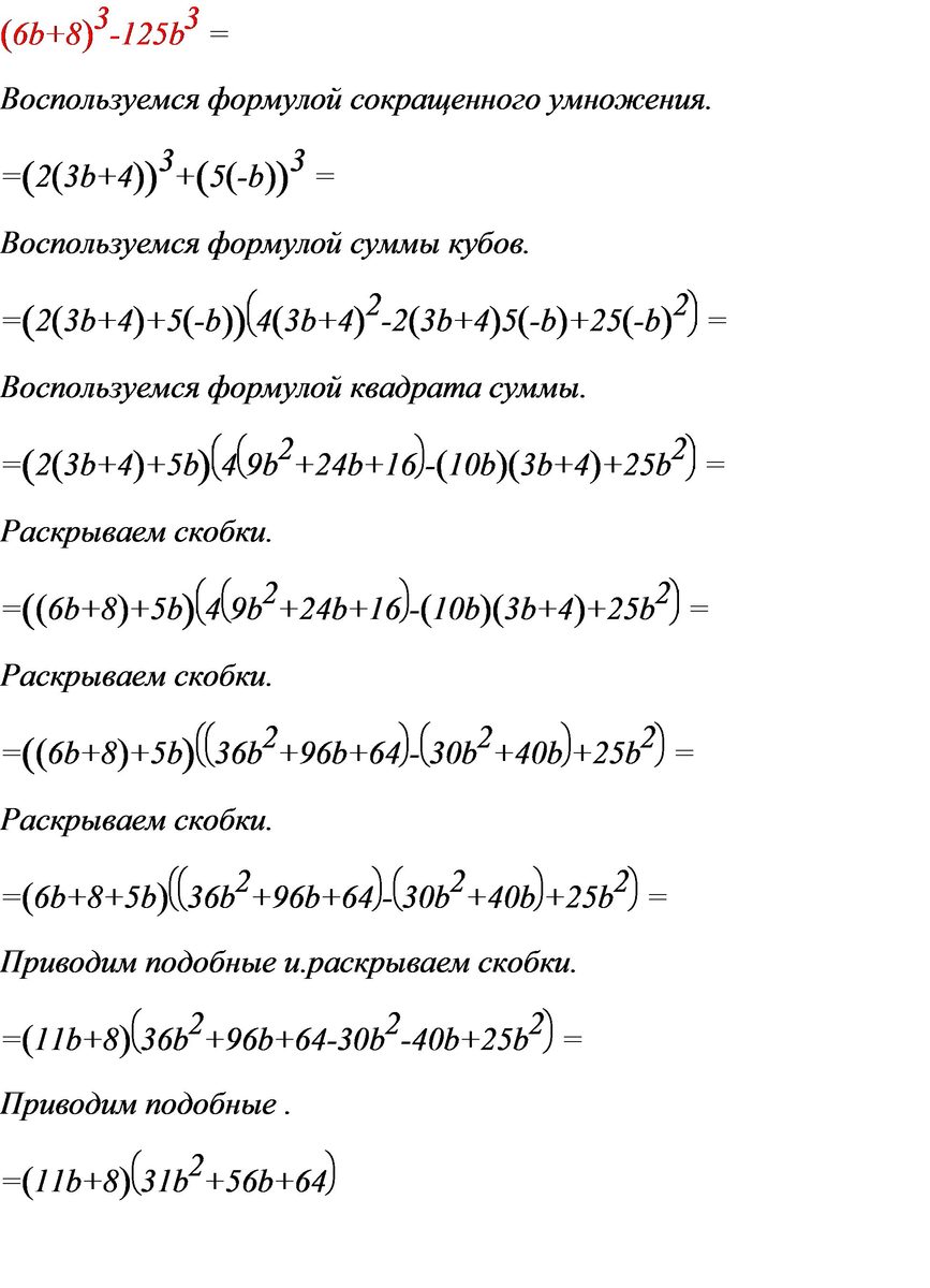
Очень надо решение,с объяснением,ибо сколько не пыталась решить,не получилось,помогите,пожалуйста! *-* Разложить на множители: (6b+8) в кубе -125b в кубе

Ответы

Ответ дал: Jayfeather
0

1368в + (7в)кв - 512

просто  что-нибдь за скобку вытащи и будут множетели)))

                         

Ответ дал: triolana
0

файл

=============================

Приложения:
Вас заинтересует